西北工业大学力学与土木建筑学院乔吉超教授团队在高熵非晶合金粘弹性力学领域取得新进展,该工作首次建立了非晶合金力学弛豫和平衡动力学之间的内禀性关联,对于理解非晶合金动力学和热力学行为及其与微观结构非均匀性关联提供了新的研究思路。相关成果以“Connection between mechanical relaxation and equilibration kinetics in a high-entropy metallic glass”为题,发表在《物理评论快报》(Physical Review Letters)。
西北工业大学力学与土木建筑学院博士研究生段亚娟为第一作者,西北工业大学乔吉超教授、西班牙加泰罗尼亚理工大学Eloi Pineda教授为通讯作者。论文的共同作者有:中国科学院宁波材料技术与工程研究所童钰博士,西班牙加泰罗尼亚理工大学E. Jiménez-Piqué教授,中国科学院力学研究所王云江研究员,香港城市大学杨勇教授,日本东北大学Takeshi Wada博士、Hidemi Kato教授,法国国立里昂应用科学学院Jean-Marc Pelletier教授。

图1论文首页信息
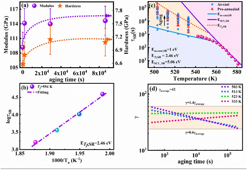
研究团队首次详细探索了Pd20Pt20Cu20Ni20P20高熵非晶合金结构动力学和热动力学特性的内禀性关联,如图2所示。随物理时效增加,其应力松弛特性明显地与焓平衡动力学相关联。这与传统上仅将物理老化与β弛豫相关联的观点不同,研究团队发现激活能随物理老化时间发生变化,并展现出广泛的激活能分布。应力松弛弛豫时间与焓弛豫时间及微纳力学特性(杨氏模量和硬度等)的平衡速率呈正比。值得注意的是,高熵非晶合金动态非均匀性和纳米压痕测得的微观结构非均匀性呈现相反的趋势。通常,玻璃动态性能与其空间结构非均匀性质相关,然而,该研究观察到在空间结构更加均匀化的同时动态非均匀性增加。这种动态非均匀性行为可能为老化初期阶段的一个特征。动态非均匀性来源不仅与具有不同松弛时间尺度空间区域的分布有关,也与不同类型原子微观重排相关松弛模式有关。这些松弛模式可以通过力学及物理机制的类型来区分,例如剪切转变区域或类似原子团运动,也可以通过合作性的程度来区分。研究发现,动态非均匀性变化与这些机制时间尺度及其对总体松弛相对贡献与老化演变过程有关。此外,应力松弛动力学行为比焓弛豫表现出更显著变化,这表明应力松弛动力学行为为更敏感的性质,可用于表征高熵非晶合金的结构状态。
图2(a)杨氏模量和硬度随老化时间的演变。(b)应力松弛时间与老化温度在=554 K的演变规律。(c)在玻璃和过冷液体区域老化过程中的演变。(d)不同老化时间和温度下参数随老化时间的演变规律。
该研究工作得到国家自然科学基金(项目批准号:51971178、52271153、12072344)、中央高校基本科研业务费资助项目(西北工业大学国际科技合作提升专项基金项目批准号:D5000220034)、陕西省杰出青年科学基金(项目批准号:2021JC-12)、日本东北大学金属材料研究所资助项目(项目批准号:202212-RDKGE-0504)、中国科学院青年创新促进会、香港研究资助局通用研究基金(项目批准号:CityU11206362、CityU11201721)、西班牙加泰罗尼亚政府资助项目(项目批准号:PID2020-112975GB-I00、PID2021-126614OB-I00)、西北工业大学博士论文创新基金(项目批准号:CX202031)和中国国家留学基金(批准号:202006290092)等项目的支持。尤其需要感谢的是该研究得到了西北工业大学翱翔青年学者计划的重要支持。
论文链接:
https://doi.org/10.1103/PhysRevLett.132.056101
(图文:乔吉超、段亚娟;审核:巨维博)